2. A megszólításról
A különböző társadalmakra jellemző megszólítási szabályokat amerikai kutatók elsők között írták le, közülük is kiemelkednek Susan Moore, Ervin-Tripp és Paul Friedrich (1972). A „szabályokat” egy számítógép folyamatábráihoz hasonló módon ábrázolták.
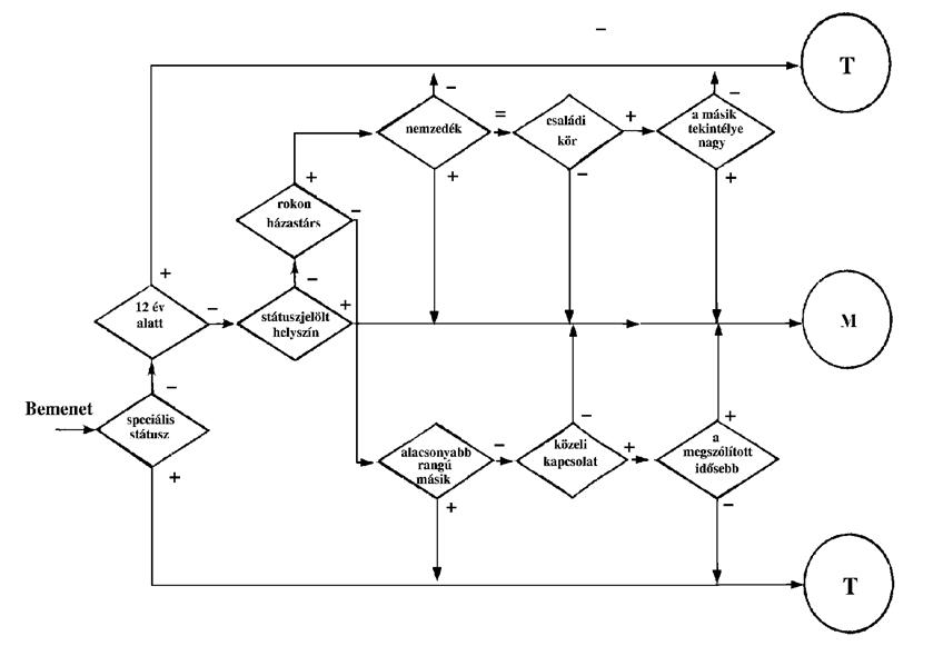
A bal oldalon van az úgynevezett bemeneti pont. Innen elindulva kettős választások sorozata követi egymást. A diagram minden egyes útvonala a megszólítás valamilyen lehetséges alternatíváját eredményezi. A romboid alakú négyszögeknél választási lehetőségekhez érkezünk. Ezek azok a pontok, amelyek mentén a különböző társadalmi helyzetben lévő emberek különböző utakat választhatnak. Státusjelölt helyszínen értjük például a bírósági tárgyalótermet, az egyetemi szenátus vagy kongresszus helyszínét, ahol mindenki számára világosan jelennek meg a beosztások, rangok, tudományos fokozatok stb. A speciális státus a 19. században érvényes orosz megszólítási szabályrendszerben az orosz uralkodóra vagy magára az Istenre vonatkozik. Az ábrákban található rövidítések feloldása: VN – vezetéknév, KN – keresztnév, Ø – néven történő megnevezés hiánya, T – tegeződés, M – magázódás. (A cím a társadalmi helyzetre utal.)

Paul Friedrich (1972) szerint a 19. századi orosz megszólító névmás használata.
T = tegezési forma, M = magázási forma

Az amerikai megszólítási rendszer S. Ervin-Tripp (1972) szerint
Domonkosi Ágnes (2002) az ezredforduló magyar nyelvhasználatát vizsgálva Kenesei István nyomán legalább négy megszólítási és kapcsolattartási módot különböztet meg: a tegezést, a magázást, az önözést és a tetszikelést. Véleménye szerint „A legnagyobb gondot a megszólítási és kapcsolattartási formák rendszerében az okozza, hogy nincs semleges értékű, általános megszólítási mód, amely a nem tegeződő viszonyok mindegyikében alkalmazható, elfogadható lenne. Kicsit sarkított ugyan a következő megfogalmazás, amely egy 18 éves fiú véleménye, de jól mutatja azt, hogy megszólító formáink nem semlegesek: »A maga kissé bunkó, az önözés túl kimért, kissé majomkodó, túlzott tiszteletet, hivatalosságot sugároz«.”
Domonkosi Ágnes egyébként kutatása során a 2000-es évek elején a nem tegező viszonyokban három változási irányt különített el: „Az egyik ilyen jelenség a tetszikelés önállósodása, lehasadása a magázó és önöző formákról; a másik a maga megszólítás visszaszorulása és egyértelműen negatív stílusminősítésűvé válása; a harmadik pedig az ön megszólítás általánossá válása, semlegesedése, egyes átterjedése bizalmas viszonyokra is.”
Fülei-Szántó Endre (1994) a kit, kiket, mit, mi mindent szólíthatunk meg? kérdésre válaszolva a kommunikatív szituáció résztvevőinek számossága szerint tíz tipikus megszólítási szituációt különböztet meg. Ezek a következők: „1. ÉN–TE viszonylat (ez az alapszituáció) – a szemtől szembe (face-to-face) párbeszéd, a telefonon történő társalgás és a levélforma stb. tartozik ide; 2. ÉN–bárki (mindenki, az általános ember) – pl. reklám, hirdetés stb.; 3. ÉN–TI – pl. a retorika szituációja, katonai vezényszavak stb.; 4. MI–TE – pl. a megjelenő államfőt éljenző tömeg szituációja; 5. MI–bárki – pl. egy Kft. hirdetése; 6. MI–TI – pl. bizonyos görög drámák kórusai és ellenkórusai, vagy csoportok veszekedése; 7. ÉN–állat – pl. állatok hívogatása és terelgetése, állatnevek; 8. ÉN–Isten – pl. imádság kezdete; 9. ÉN–ÉN – pl. Oh, én szerencsétlen!; 10. ÉN–megszemélyesített világrészlet – pl. »Oh, természet, oh, dicső természet!« (…) Valamennyi szituációban fölmerül a megszólítás, valamint a kapcsolatminőséget jelző elemek sora is.”
R. Brown és A. Gilman (1960) a múlt század 60-as éveiben vetették fel a tegező (bizalmas, egyes számú) és a magázó (udvarias és grammatikailag többes számot jelző) formák használatának időbeli változását. Bár felvetésüket mások bírálták, túlontúl is egyszerűnek, de tulajdonképpen elfogadhatónak tartják napjainkig. Lényege a következő: már az ókori Rómában kialakult az a szokás, hogy a többes számú személyes névmást (M) egy személyre, a császárra vonatkoztatva is használták. Később ezt a formát használni kezdték más „hatalommal” rendelkezők is, először valószínűleg az egymás iránti tisztelet jeléül, később egyszerűen csak a távolságtartás jelzésére. Eközben a tegező forma (T, egyes számú alak) az úgynevezett intimitást szolgálta.

A szerzők a tegező formát (T) tehát a leereszkedés és intimitás, a magázódó formát (M) pedig a tisztelet és formalitás névmásának tekintették. Az ábrán láthatjuk, hogy a hatalmi viszonyok (vízszintesen) három szinten is jelentkeznek. Egyszerre van jelen a hatalmi tényező (feljebbvaló és alárendelt) és a szolidaritás (egyenlő). Függőlegesek a leereszkedés és a tisztelet azon tényezői, melyek meghatározzák a névmásválasztást. Elképzelésükben „nem szolidáris” egymással például a vendég és a pincér, a tiszt és a közkatona, a munkaadó és az alkalmazott; „szolidáris párok” viszont a szülő és a gyerek, a „jó” gazda és a „hű” szolga, a báty és az öcs.
Idővel lehetségessé vált az a helyzet, hogy a különböző társadalmi szinteken lévők is szolidárisak lehetnek egymással, azaz ellentmondás keletkezett: például a hatalom magázó formát vár, de a szolidaritás tegezőt. Ezt ábrázolja az alábbi kibővített ábra. A felmerült ellentmondás úgy oldódhat meg, hogy a „nem szolidárisok” kölcsönösen a magázást, a „szolidárisok” viszont a tegezést használják.

A fordítás a kultúrák és nyelvek közötti közvetítés fontos formája. Feladata csöppet sem egyszerű, hiszen gyakran kell olyat lefordítani, amely csak a forrásnyelv szociokulturális rendszerére jellemző, de a célnyelv kultúrájából, így nyelvéből is hiányzik. A nyelv tagolódása a társadalom tagolódását is jelzi, ám a társadalmak egymástól gyökeresen eltérőek lehetnek, ráadásul az időbeli távolság is döntő lehet.
A magyar vagy az orosz nyelvben, sok más nyelvhez hasonlóan, a tegezés és magázás – mely különböző névmásokban is megtestesül, – a szociális státus és szerep fontos mutatója. Miután ezeknek a névmásoknak az angolban nincs analogonja, előfordulhat, hogy még egy egyszerű mondat pontos lefordítása is gondot jelent. Magyarra lefordítani és az előbbieket jelezni nem probléma: Dosztojevszkij Félkegyelműjében Nasztaszja Filippovna tegezi a herceget, ezzel is jelezve környezetének, hogy köztük bizalmas viszony van. „Te vagy az, Jevgenyij Petrovics?” Az angol fordító viszont ezt úgy oldotta meg, hogy a hölgy szavait az intimitást jelző darling megszólítással egészítette ki: „Is that you, Eugene, darling?”