10.2. Útvonalak
A gyerekek autópályák, vonatsínek, golyópályák építésekor is terveznek útvonalakat, választanak lehetőségek közül.
Készíthetünk olyan játékot, amelyben térképrészleteket kell egymáshoz illeszteni úgy, hogy az utak kapcsolódjanak egymáshoz. Meghatározhatunk helyeket, amelyek között feltétlenül kell útvonalnak lenni, amikor a térképrészleteket összeillesztjük.
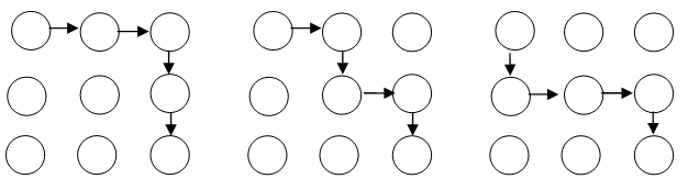
1. példa: Micimackó otthonából indulva a legrövidebb úton akar eljutni Róbert Gidához úgy, hogy közben három barátját meglátogatja. Játsszuk le az összes lehetséges útvonalat, és rajzoljuk be egy-egy ábrába!



A példában megfigyelhető az összeadási módszer: Róbert Gidához csak Fülestől vagy Malackától juthat Micimackó. Mivel Micimackó Füleshez és Malackához is 3-féle útvonalon mehet, így Róbert Gidához összesen 3+3=6-féleképpen juthat a lakásától.
2. Példa:
Hányféleképpen lehet kiolvasni a neveket az alábbi betűtáblákból?
|
|
Írjuk a betűk jobb alsó sarkába azokat a számokat, amik a kezdőpontból a betűbe jutás lehetőségeinek számát mutatják. A ZSUZSI kiolvasásakor a Z-ből a jobbra levő S betűbe 1-féleképpen juthatunk, a lefele levő S betűbe szintén, így 1-et írunk mindkét S betűhöz. Az U betűhöz mindkét S-ből juthatunk, így Z-ből U-ba 1+1=2-féleképpen juthatunk, az U-hoz a 2-t írjuk. Így tovább haladva végül az I betűhöz írt számot úgy kapjuk, hogy először megnézzük, hogy honnan juthatunk az I-be: a felső és a balra levő S betűkből. Az I-be juthatunk 4-féleképpen a felső S betűn keresztül, és 6-féleképpen a balra levő S betűből, összesen 4+6=10-féleképpen, azaz a két S betűhöz írt számot összeadjuk.
|
|
Tehát ZSUZSI-t 10-féleképpen lehet kiolvasni, ZSÓFI-t pedig 1+4+6+4+1=16-féleképpen.
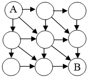
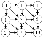
3. példa:
Hányféleképpen lehet eljutni A-ból B-be, ha csak a nyilak mentén haladhatunk?

Írjuk a körökbe azokat a számokat, az előbbi módon, ahányféleképpen A-ból abba a pontba el lehet jutni. Most vannak pontok, ahová három körből is juthatunk, így az azokba írt három számot kell összeadni.

Tehát 13-féleképpen juthatunk A-ból B-be.
4. példa:
Hányféle két vagy háromgombócos fagyit vehetünk, ha a csokoládé, vanília, eper, citrom ízek közül választhatunk, nem veszünk két egyforma ízű gombócot, és a tölcsérben a gombócok sorrendje nem számít?
Két esetet különböztetünk meg: két- vagy háromgombócos fagyit veszünk.
1. eset: kétgombócos fagyit veszünk.
A négy íz közül választunk kettőt:
A csokihoz választunk háromfélét: csoki-vanília, csoki-eper, csoki-citrom. Csokit többször nem választunk.
A vaníliához már csak kétfélét választhatunk: vanília-eper, vanília-citrom.
Marad az eper-citrom utoljára.
Összesen 3 + 2 + 1 = 6 lehetőség van.
2. eset: háromgombócos fagyit veszünk.
Mivel minden gombóc különböző, négyféle gombóc van, egyet nem választunk közülük. Ezt 4-féleképpen választhatjuk ki.
Tehát a két esetben összesen: 6+4=10 lehetőség van.
Gyerekekkel is játszhatunk fagylaltosat, biztatva őket a minél többféle fagylalt kitalálására, de semmiképp sem az összes eset meghatározásának igényével.
A fenti példában összeadtuk a két esetben előforduló lehetőségek számát, ez az összeadási szabály.